Sign In

Thông báo danh sách dự kiến công nhận tốt nghiệp trình độ đại học đợt 1 năm 2026 (Lần 2) cho sinh viên hình thức chính quy và Song bằng trúng tuyển năm 2020, 2021 học tại trụ sở Hà Nội

15:58 02/04/2026

Chọn cỡ chữ A a  

Như Ngọc

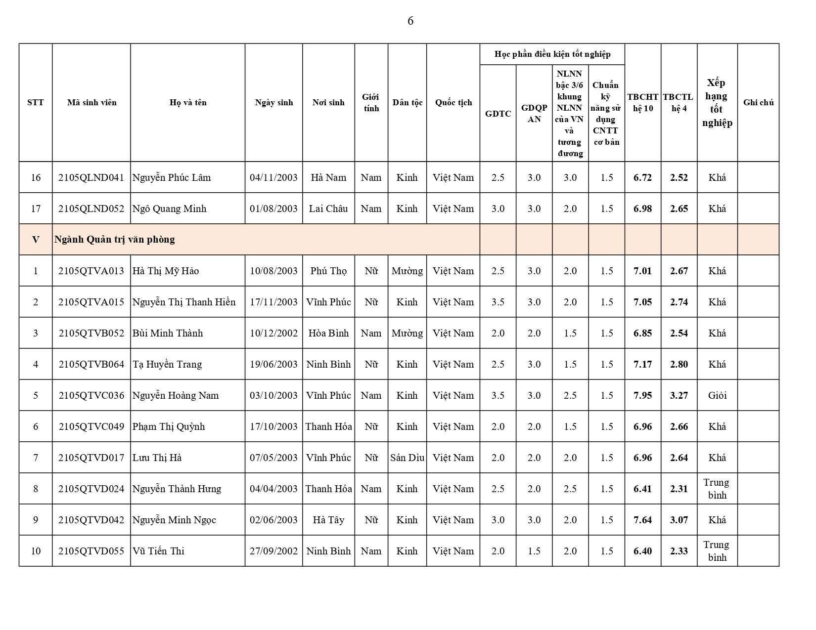
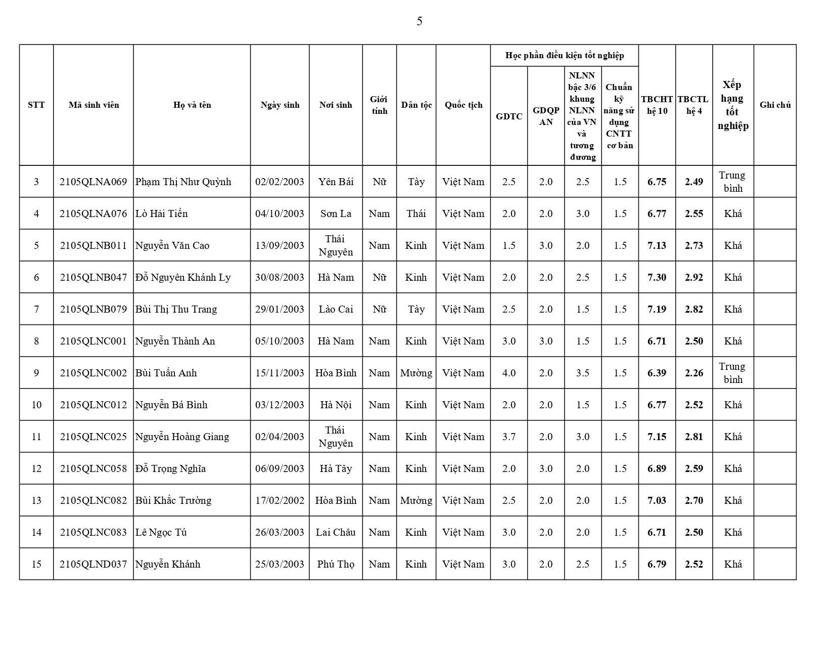
Nội dung trong tệp đính kèm

Ý kiến

Bảo vệ Luận án Tiến sĩ cấp Học viện: “Bảo đảm giải quyết khiếu nại đất đai vùng Nam Trung Bộ”

Bảo vệ Luận án Tiến sĩ cấp Học viện: “Bảo đảm giải quyết khiếu nại đất đai vùng Nam Trung Bộ”

(apag.edu.vn) - Sáng ngày 12/5/2026, tại Hà Nội, Học viện Hành chính và Quản trị công tổ chức Hội đồng đánh giá Luận án Tiến sĩ cấp Học viện của nghiên cứu sinh Nguyễn Quốc Tỉnh, ngành Quản lý công, mã số 9 34 04 03, với đề tài “Bảo đảm giải quyết khiếu nại đất đai vùng Nam Trung Bộ” dưới sự hướng dẫn khoa học của PGS.TS. Trần Thị Cúc và TS. Hoàng Sỹ Kim.