Sign In

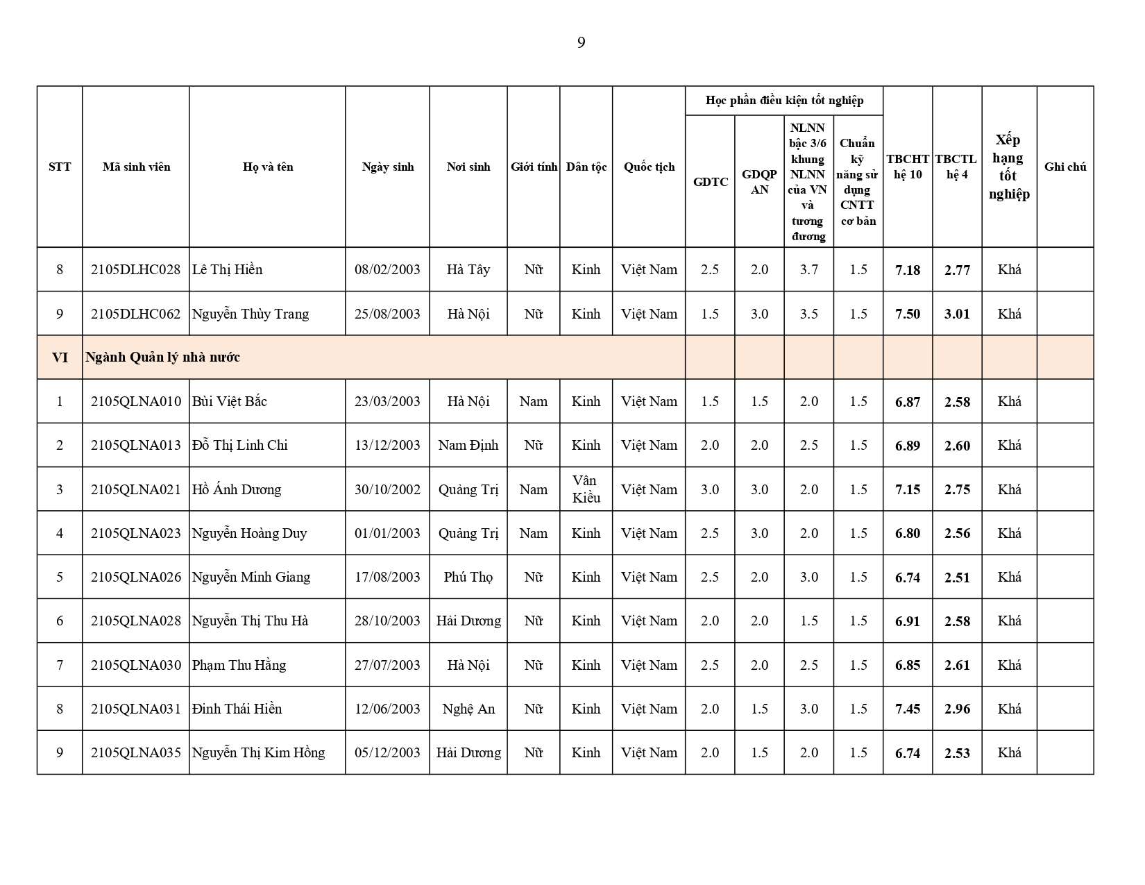
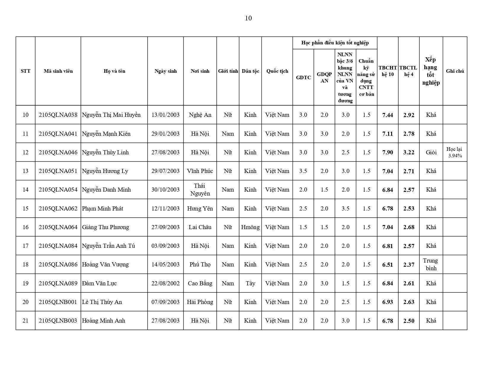
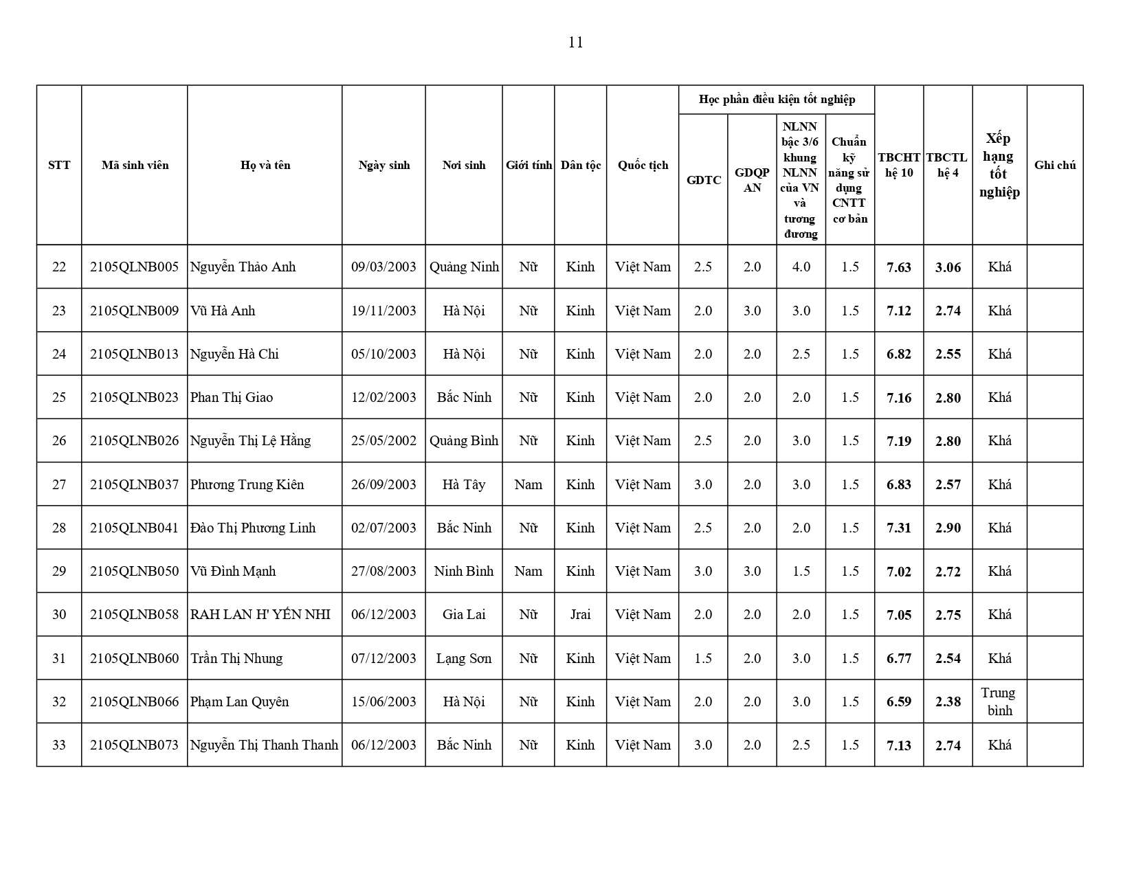
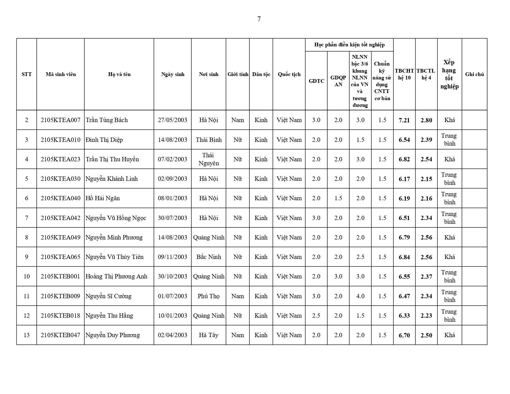
Quyết định số 3724-QĐ/HVHC&QTC ngày 24/11/2025 của Giám đốc Học viện Hành chính và Quản trị công về việc công nhận tốt nghiệp trình độ đại học đợt 4 năm 2025 cho sinh viên hình thức chính quy trúng tuyển năm 2021, học tại Hà Nội

05:20 25/11/2025

Chọn cỡ chữ A a  

Như Ngọc

Nội dung trong tệp đính kèm

Ý kiến